통계학 2


통계학 2 1

일반적인 pmf 테이블

X의 PMF

P(X=1) = P(X=1 & Y=1) + P(X=1 & Y=2) = 0.3

P(X=2) = P(X=2 & Y=1) + P(X=2 & Y=2) = 0.7


통계학 2 2


통계학 2 3


통계학 2 4

X와 Y의 값을 X,Y ~ f(x,y)로 바꾸면 쉽게 구할 수 있다.


통계학 2 5

중요한

물고기가 어떤 방향으로 연관되어 있는지를 알려주는 지표이자 그 방향으로 집중된 강도도 함께 보여주는 지표입니다.

계산 방법은 편차 곱의 기대값입니다.


통계학 2 6

양의 선형 관계인 경우

????

그러나 이것은 선형 관계이기 때문에 가능하거나 불가능했습니다.


통계학 2 7


통계학 2 8

???


통계학 2 9

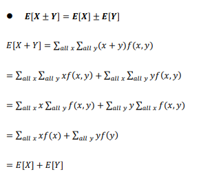
이것이 가장 중요한 부분입니다.

통계학 2 10통계학 2 11

통계학 2 12

n 확률 변수의 합의 기대값도 개별 기대값의 합과 같습니다.

독립의 경우 분산의 합은 같습니다.


통계학 2 13